عوامل الإنتاج

في الاقتصاد، عوامل الإنتاج أو الموارد أو المدخلات هي ما يتم استخدامه في عملية الإنتاج لإنتاج المخرجات – أي السلع والخدمات. تحدد الكميات المستخدمة من المدخلات المختلفة كمية المخرجات وفقًا للعلاقة التي تسمى دالة الإنتاج. هناك أربعة موارد أساسية أو عوامل إنتاج: الأرض، والعمالة، ورأس المال، ورجل الأعمال (أو المؤسسة). وكثيرًا ما توصف هذه العوامل أيضًا “بالسلع أو الخدمات المنتجة” لتمييزها عن السلع أو الخدمات التي يشتريها المستهلكون، والتي كثيرًا ما يطلق عليها “السلع الاستهلاكية”.
أنواع عوامل الإنتاج
هناك نوعان من العوامل: الأولية والثانوية. العوامل الأساسية المذكورة سابقًا هي الأرض والعمالة ورأس المال. تعتبر المواد والطاقة من العوامل الثانوية في الاقتصاد الكلاسيكي لأنها يتم الحصول عليها من الأرض والعمالة ورأس المال. تسهل العوامل الأولية الإنتاج ولكنها لا تصبح جزءًا من المنتج (كما هو الحال مع المواد الخام) ولا تتحول بشكل كبير من خلال عملية الإنتاج (كما هو الحال مع الوقود المستخدم لتشغيل الآلات). لا تشمل الأرض موقع الإنتاج فحسب، بل تشمل أيضًا الموارد الطبيعية الموجودة فوق التربة أو تحتها. ميز الاستخدام الحديث بين رأس المال البشري (مخزون المعرفة في القوى العاملة) والعمالة. تعتبر ريادة الأعمال أحيانًا عاملاً من عوامل الإنتاج. أحيانًا يتم وصف الحالة العامة للتكنولوجيا كعامل إنتاج. يختلف عدد العوامل وتعريفها، اعتمادًا على الغرض النظري أو التركيز التجريبي أو مدرسة الاقتصاد.
ما هي عوامل الإنتاج؟
في الاقتصاد الكلي، تكون عوامل الإنتاج على النحو التالي.
- رأس المال المادي (K): رأس المال المادي أو الأصول الملموسة التي يتم إنشاؤها للاستخدام في عملية الإنتاج. تشمل هذه الأصول أشياء مثل المباني والآلات وأجهزة الكمبيوتر وغيرها من المعدات.
- العمالة (L): العمالة أو المدخلات هي الأنشطة الماهرة وغير الماهرة للعمال البشريين.
- الأرض (P): الأرض التي تشمل الموارد الطبيعية والمواد الخام ومصادر الطاقة مثل النفط والغاز والفحم.
- ريادة الأعمال (H): ريادة الأعمال هي جودة ذكاء الأعمال التي يتم تطبيقها على وظيفة الإنتاج.
تشمل عوامل الإنتاج في أبسط أشكالها الأرض والعمالة ورأس المال. الأرض هي مورد طبيعي تستخدمه مؤسسة اقتصادية لإنتاج السلع والخدمات من أجل الربح. لا تقتصر الأرض على الممتلكات المادية أو العقارات. تشمل الأرض أي موارد طبيعية مثل النفط الخام أو الفحم أو الماء أو الذهب أو الغاز الطبيعي. الموارد هي أيضًا مواد طبيعية تُستخدم في إنتاج السلع والخدمات.
العمل هو أيضًا مقدار العمل الذي يقوم به العمال للمساعدة في عملية الإنتاج. على سبيل المثال، إذا كان العامل يعمل وكان جهده يخلق سلعة أو خدمة، فقد ساهم في موارد العمل. لكي تكون هذه الوظيفة عملية، يجب أن يكون لها شكل محدد. بمعنى أنه يجب أن يكون قادرًا على شرح عملية تحويل المدخلات إلى مخرجات. تحاول هذه الوظيفة حساب الحد الأقصى لقيمة الإخراج لقيمة إدخال معينة.
رأس المال هو أي أداة أو مبنى أو آلة تُستخدم لإنتاج سلع أو خدمات. رأس المال مختلف في كل صناعة. على سبيل المثال، يستخدم المبرمج الكمبيوتر لكتابة برنامج، ورأس ماله هو الكمبيوتر الذي يستخدمه. من ناحية أخرى، يستخدم الطباخ الأواني والمقالي للطهي وتقديم السلع والخدمات، لذلك تعتبر القدور والمقالي عاصمة الطباخ.
أخيرًا، يجمع رجل الأعمال بين عوامل الإنتاج هذه لتحقيق ربح. على سبيل المثال، يجمع رجل أعمال في مجال المجوهرات بين العمالة والآلات لإنتاج المجوهرات ويتحمل مخاطر ومكافآت إنتاج السلع. حددت معظم المدارس الاقتصادية نفس أنواع عوامل الإنتاج، بما في ذلك الأرض والعمالة ورأس المال وريادة الأعمال.
تتفق مدارس الفكر النقدي والنيوكلاسيكي والكينزي على من يجب أن يمتلك عوامل الإنتاج ودورها في النمو الاقتصادي. تجادل المدارس الماركسية والاشتراكية الجديدة بأن عوامل الإنتاج يجب تأميمها وأن النمو يأتي في المقام الأول من رأس المال المشتق من العمل. تنص المدرسة النمساوية أيضًا على أن هيكل عوامل الإنتاج يحدد دورات الأعمال.
يدور الجدل الرئيسي بين الرأسمالية والاشتراكية حول ملكية عوامل الإنتاج الأولية. يعتقد النظام الرأسمالي أن الملكية الخاصة شرط ضروري للمنافسة والابتكار والنمو الاقتصادي المستدام. يجادل الاشتراكيون بأن تراكم رأس المال الخاص سيؤدي إلى تفاوت في الثروة بلا رادع وتركيز السلطة في أيدي قلة. تجادل المدرسة النمساوية بأن النماذج الكينزية والنماذج الكلاسيكية الجديدة غير مكتملة إلى حد كبير ولا يمكنها تفسير عملية ملكية عوامل الإنتاج وأهدافها بشكل جيد.
مفهوم وظيفة الإنتاج
دالة الإنتاج هي طريقة لحساب ناتج الإنتاج مقارنة بمدخلاته. لا يمكنك صنع شيء من لا شيء. أنت بحاجة إلى الإمدادات والمعدات والموارد وبعض المعرفة. يمكن أن تؤثر كمية هذه المدخلات التي تحتاجها على إنتاجك. كما هو مذكور في علم الاقتصاد، فإن دالة الإنتاج هي طريقة لحساب المخرجات مقارنة بالمدخلات. بشكل عام، تصور دالة الإنتاج عملية التحول المادي للمدخلات إلى مخرجات.
على سبيل المثال، يمكن عرض دالة إنتاج افتراضية على النحو التالي.
Q = f (K, L, P, H)
في هذا الصدد، فإن مقدار “الإنتاج” (Q) هو دالة لقيم المدخلات المجمعة لكل عامل. بالطبع، لا تتطلب كل الأعمال نفس عوامل الإنتاج أو نفس عدد المدخلات. شكل آخر من أشكال وظيفة الإنتاج يقلل من المدخلات إلى العمالة ورأس المال المادي فقط. صيغة هذا الشكل من دالة الإنتاج هي كما يلي.
Q = f(L, K)
في العلاقة أعلاه، القوة العاملة (L) ورأس المال (K) هما عاملا الإنتاج اللذان لهما أكبر تأثير على كمية الإنتاج.
الإنتاج الإجمالي والإنتاج النهائي والإنتاج المتوسط
في مناقشة الإنتاج، هناك مفاهيم مثل الإنتاج الكلي و الإنتاج المتوسط والإنتاج النهائي، وهي ضرورية لفهم وظيفة الإنتاج بشكل أفضل وكذلك مراحل الإنتاج في جميع وظائف الإنتاج. فيما يلي، سيتم مراجعة هذه التعريفات بإيجاز.
ما هو الإنتاج الإجمالي ؟
إجمالي الإنتاج (Total Production | TP) هو مقدار الإنتاج لكل مستوى من عامل الإنتاج.
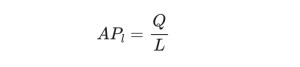
ما هو الإنتاج المتوسط ؟
الإنتاج المتوسط (Average Production | AP) لكل عامل إنتاج هو إجمالي الإنتاج مقسومًا على عامل الإنتاج هذا. على سبيل المثال، يتم حساب متوسط إنتاج العمالة على النحو التالي.

في هذه العلاقة، Q هو إجمالي الإنتاج و L هو عدد القوى العاملة.
ما هو المنتج النهائي؟
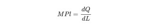
الإنتاج النهايي (Margianl Production | MP) هو مفهوم يرتبط على نطاق واسع بوظيفة الإنتاج والإنتاج الإجمالي. الإنتاج النهائي لكل عامل من عوامل الإنتاج هو مشتق من الدرجة الأولى لوظيفة الإنتاج فيما يتعلق بعامل الإنتاج هذا. في تعريف آخر، يشير الناتج النهائي لعامل الإنتاج إلى آخر وحدة ينتجها عامل الإنتاج هذا. بمعنى آخر، الإنتاج النهائي هو نسبة التغيير في إجمالي الإنتاج مقسومًا على التغيير في عامل الإنتاج المطلوب.

في العلاقة المذكورة أعلاه، dQ هو التغيير في إجمالي الإنتاج و dL هو أيضًا التغيير في العمالة، والذي يمثل المشتق الجزئي لـ Q فيما يتعلق بـ L. على سبيل المثال، ضع في اعتبارك شركة تسمى Z. عندما لا يكون للمصنع عمالة، لن يكون هناك إنتاج، بغض النظر عن أي مقدار من رأس المال المادي. عندما يتم توظيف عامل، يتم إنتاج ثلاث وحدات لكل ساعة عمل. وعندما يتم تعيين عاملين، يزيد الناتج الإجمالي إلى خمس وحدات في الساعة.
تؤدي إضافة العامل الثاني إلى وحدتين إضافيتين لكل ساعة عمل. بمعنى آخر، كان الإنتاج النهائي للعامل الثاني يساوي وحدتين. بما أن الإنتاج النهائي له علاقة مباشرة بزيادة القوة العاملة، فإنه يسمى أيضًا الإنتاج النهائي للقوى العاملة. إذا كانت الزيادة في الإنتاج نتيجة للتكنولوجيا الجديدة أو رأس المال المادي، فإن هذا التغيير في الإنتاج يسمى الناتج النهائي لرأس المال. عندما يبدأ MP في الانخفاض، يقال إن قانون تناقص الغلة ساري المفعول.





